顏色色彩管理、配色

RGB、XYZ、CIELab、Hunter Lab顏色空間
RGB、XYZ、CIELab、Hunter Lab是四種不同的顏色空間,它們在顏色表示、應用領域和計算方法等方面各有特點。
RGB顏色空間
基本原理:RGB顏色空間基于紅(R)、綠(G)、藍(B)三種基本顏色,通過這三種顏色的不同比例疊加來產生豐富的色彩。RGB顏色空間主要用于顯示和表示圖像,是圖像處理中最基礎、最常用的顏色空間。
應用領域:RGB顏色空間廣泛應用于電視、電腦顯示器等視頻、多媒體與網頁設計中。
優點:直觀、容易理解。
缺點:RGB顏色空間不是均勻的顏色空間,即空間坐標上等距離的兩點并不能表示出顏色的差異性,因此并不適合用作色差檢測。

RGB顏色空間示意圖
XYZ顏色空間
定義:也稱CIE1931顏色空間,由國際照明委員會(CIE)定義。它用X、Y、Z三個值來表示顏色,其中X和Z代表色度,Y代表亮度。
應用領域:XYZ顏色空間主要應用于分光光度計和數字顏色分析器等分析儀器,為這一類儀器提供了待分析樣本所需的透射或折射的三色光信號。
特點:XYZ顏色空間是一個設備獨立的顏色空間,包含了所有人類能夠發覺的顏色。它是基于由實驗測定的顏色匹配函數的,因此不同于RGB顏色空間只是表示監視器所能顯示的顏色范圍,而是顯示所有的顏色。但是,它所表示的顏色與人眼感知不太一致,導致在不同顏色對比中存在一定缺陷。因此,該顏色模型往往只是用于線性轉換到其他顏色空間的過渡顏色空間。

XYZ顏色空間
Yxy顏色空間:
三刺激值XYZ對定義顏色非常有用,但卻不易直接目視其結果,為此CIE于1931年規定了Yxy色空間,它是在二維圖上描述顏色,但與亮度無關。Y為物體的反射比,用%數表示(與反射比為100%的理想漫反射相比較)。它對應于顏色三要素的明度其值就等于三刺激值的Y值。色度坐標x、y對應于色三要素的色調和彩度。x、y色度坐標可由下式算得:x=X/(X+Y+Z)y=Y/(X+Y+Z)
(其中X、Y、Z為三刺激值)X軸色度坐標相當于紅基色的比例;Y軸色度坐標相當于綠基色的比例,圖中沒有Z軸色度坐標(即藍基色所占的比例)。因為比例系數x+y+z=1,Z的坐標值可以推算出來,即z=1-x-y。
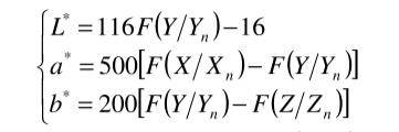
CIELab顏色空間
定義:也稱為Lab顏色空間,是一種基于人類視覺感知的顏色空間。由CIEXYZ色度系統經過非線性轉換得到,用明度指數L*、色品指數a*和b*構成的三維坐標系統來表示顏色感覺。
應用領域:CIELab顏色空間在設計、印刷和顏色質量控制等領域有廣泛應用。它是顏色量化最均勻的顏色分布,在樣品色差評比系統中,很多公式都是依賴該顏色空間的,是顏色差異的規范化空間,能夠解決顏色量化的等距度量,其均勻性較好。該顏色空間兩點之間的幾何距離,與人眼觀察物體的色差大小相同。

CIELab顏色空間
特點:
L*代表亮度,取值范圍在0,100,表示從純黑到純白。
* a*代表紅綠軸上的顏色變化,-a*最小表示綠色,+a*最大表示紅色,取值范圍在?128,127。
* b*代表黃藍軸上的顏色變化,-b*最小表示藍色,+b*最大表示黃色,取值范圍同樣在?128,127。
CIELab顏色空間解析:
CIELab是CIE1976L*a*b*均勻顏色空間的簡稱,是由CIEXYZ色度系統經過非線性轉換得到的,它用明度指數L*,色品指數a*和b*構成的三維坐標系統來表示顏色感覺,其轉換公式如下:

其中F(X/Xn)、FY/Yn)、F(Z/Zn)為分段函數,且具有相同的表達形式:

式中 X、Y、Z 為顏色樣品的三刺激值;Xn,Yn,Zn為CIE標準照明體照射到完全漫反射體表面的三刺激值,代表照明光源的顏色。在公式中引入的Xn,Yn,Zn目的是模擬色適應的效果,即無論照明光源的顏色如何,當它照射在完全漫反射體上,且眼睛適應了該光源后,所產生的顏色感覺都應該是白色,色品指數a*和b*都應該為0,即抵消了光源本身的顏色。

CIElab顏色空間示意圖
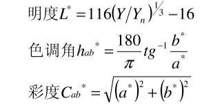
在上圖中,由幾何關系可以看出,任一個坐標位置為p的顏色樣品,其明度、色調和彩度三個感覺特征量可用下列公式計算表示:

其中,明度L*的取值范圍為0~100,0對應著黑色,100對應著白色。色調角h*ab的范圍為0°~360°,以正a*軸作為0°方向,按逆時針旋轉為正。彩度C*ab為a*-b*平面上樣品的坐標點距離原點的距離或半徑。上式對轉換式式和上圖所示的直角坐標系進行了變換,從直角坐標系變換到柱面坐標系,用明度L*、色調角h*ab和彩度C*ab表示顏色感覺。
Hunter Lab顏色空間
定義:由Richard.S.Hunter創立的,是一種常用于顏色測量的顏色空間。它使用L、a、b三個參數來表示顏色,其中L代表顏色的深淺,a代表顏色的紅綠方向,b代表顏色的黃藍方向。
應用領域:Hunter Lab系統常用于陶瓷工業、塑料工業和紡織工業。

Hunter Lab顏色空間
特點:
L值越大,物體顏色越白;L值越小,物體顏色越黑。
沿(+a)方向紅色逐漸加深,沿(-a)方向綠色逐漸加深。
沿(+b)方向黃色逐漸加深,沿(-b)方向藍色逐漸加深。
Hunter Lab顏色空間解析:
Hunter Lab顏色空間是一個基于對立顏色學說的三維矩形空間,如下圖所示,與CIE L*a*b*色彩體系相類似,同一顏色在這兩個顏色空間中的數值是不同的,Hunter Lab在顏色空間的藍色部分是收縮的,CIE L*a*b*在顏色空間的黃色部分是過度擴張的;都是由CIE XYZ體系導出的。

L(明度)軸:其中)代表黑,100代表白。
a(紅一綠)軸:其中正值為紅;負值為綠。
b(藍一黃)軸:其中正值為黃;負值為藍。
L值越大,物體顏色越白;L值越小,物體顏色越黑。沿(+a)方向紅色逐漸加深,沿(-a)方向綠色逐漸加深。沿(+b)方向黃色逐漸加深,沿(-b)方向藍色逐漸加深。
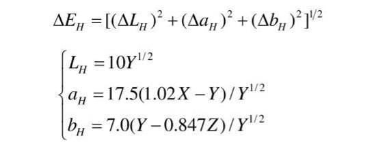
Hunter Lab色度參數技術公式如下:

其中:L為明度;a、b為色度;X、Y、Z為物體的三刺激值;Xn、Yn、Zn為完全反射面的三刺激值;Ka、Kb為調整因子。
該系統的L,a,b值的表示及其色差公式為:

式中 X,Y,Z 為樣品的三刺激值。Hunter Lab系統常用于陶瓷工業、塑料工業和紡織工業。
CIELch顏色空間
LCH顏色空間是Lab空間變形后得到的圓柱形顏色空間。該顏色空間由L、C、H表示。縱坐標L*值同樣對應于顏色三要素的明度,取值0-100;C*代表彩度,即某一顏色的坐標位置與原點的距離,取值0-181,圓心處顏色的飽和度C*值為0,離圓心越遠C*的值越大;H*為色調,取值0°-360°,h*代表色調角,是某一顏色坐標在色品平面內的投影點和坐標原點的連線與a軸的夾角。規定h*從正a軸(紅)開始為0°,逆時針為正,正b軸(黃)為90°,負a軸(綠)為180°,負b軸(藍)為270°。

CIELch顏色空間
CIELuv顏色空間
CIELUV顏色空間是CIE1976L*u*v*均勻顏色空間的簡稱,在CIELUV空間中,L*為明度,u*、v*為色品指數。三者相互垂直構成色空間來描述相對應的亮度和色度量:垂直的軸是明度L*,位于水平面且互相垂直的是色品指數u*和 v*。
CIELUV顏色空間與CIELAB顏色空間相似,L*,u*,v*是X,Y,Z通過非線性變換得到的,同樣用兩點間的距離表示顏色之間的色差。CIEL*u*v*和CIEL*a*b*有一些共同的特點。首先,它們的顏色空間雖然距完全均勻仍有距離,但基本上是均勻的。其次,由于是基于顏色測量的CIE系統,CIEL*u*v*和CIEL*a*b*都是與設備無關的顏色空間。與CIELAB顏色空間不同,CIELUV顏色空間更多地應用于光源色和自發光色領域。

CIELuv顏色空間
綜上所述,RGB、XYZ、CIELab、Hunter Lab顏色空間各有其特點和應用領域。在實際應用中,需要根據具體需求選擇合適的顏色空間。